반응형
| 난간대 물량산출1 난간대 물량산출2 |
난간대 물량 산출을 어떻게 하냐는 요청이 있어, 오늘은 난간대 물량 산출 얘기를 해보려고 한다.
난간대는 "길이"로 물량을 뽑는다.
어떻게 산출 하냐고? 평면도에서 그냥 캐드로 찍으면 된다.
길이를 뽑는 거니까.....
하지만, 계단 난간은 좀 다르다.
난간대가 경사를 이루고 있기 때문이다.
물량산출에서 최고의 경지.
즉, 중학교 수준의 최고의 경지다.
나머지 적산은 모두 길이, 면적, 부피로 초등학교 수준인데, 난간대는 중학교 수학 수준은 되어야 한다.
뭐, 별거 없단 얘기다.
계단 난간대 물량을 산출서를 따라, 산출해 보려고 한다.
다시 한번 말하지만, 난간대는 길이로 산출한다.

뭐 이렇게 생긴거다.
규격은 보다시피, H=900 이다.

| 산출서 | |
| 계단핸드레일/계단실 | H:900,아연도금강판 |
| '[2.08^2+1.45^2]+[2.08^2+1.45^2]+<중간참>(0.05+0.15+0.05)*2 = 5.57M | |

| 산출서 | |
| 계단핸드레일/계단실 | H:900,아연도금강판 |
| '[2.08^2+1.45^2]+[2.08^2+1.45^2]+<중간참>(0.05+0.15+0.05)*2 = 5.57M | |
간단히 얘기 하면,

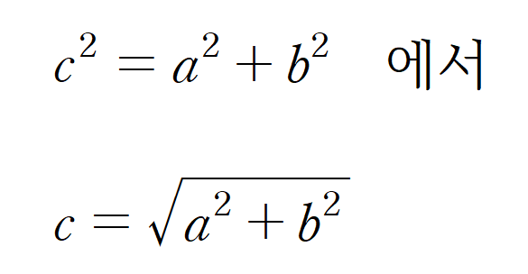
단면, 평면에서 처럼, 2.08의 길이(260x8EA)와
계단참까지의 높이(층고 2.9÷2=1.45) 를 피타고라스의 정리를 이용해서 길이를 구하고 2를 곱한다.(계단참이 2번 생기니)
거기에, 난간대의 여장길이("B"부분 측면 상세도) 50+ 마구리면("A"부분 측면 상세도) 150 + 난간대의 여장길이("B"부분 측면 상세도) 50 를 구하고, 2를 곱한다.(계단참이 2번 생기니)
이게 다다.
반응형
'주방_물량산출' 카테고리의 다른 글
| 난간대 물량산출(도식화) (0) | 2024.05.26 |
|---|---|
| 난간대 물량산출2 (0) | 2024.05.19 |
| 테라조 물량산출2 (2) | 2024.05.05 |
| 테라조 물량산출1 (0) | 2024.04.28 |
| 타설 부착 단열재 물량 산출 (0) | 2024.04.21 |
| 적산에 대한 오해 (1) | 2023.06.04 |
| 물량산출- 계단 물량 산출 (9) | 2020.06.23 |
| 적산과 견적, 적산의 종류 (0) | 2020.06.18 |
| 물량산출- 벽체 물량 산출 (3) | 2020.06.16 |
| 물량산출- 기둥 물량 산출 (4) | 2020.06.10 |